东北林业大学野生动物与自然保护地学院姚允龙团队在《Ecological Indicators》发表了题为“Comparison of the predictive ability of spectral indices for commonly used species diversity indices and Hill numbers in wetlands”的研究论文,此研究采用搭载长光禹辰公司自主研发的MS600 Pro多光谱相机的多旋翼无人机,获取了三江保护区部分区域的沼泽湿地的多光谱图像,提取光谱指标用于沼泽湿地植物物种多样性预测。
湿地生物多样性变化速度之快、范围之广,远超出了仅通过现场取样进行监测的能力,传统卫星遥感影像由于其粗糙空间分辨率难以直接用于湿地植物多样性监测。无人机技术的发展为大范围湿地植物物种多样性监测提供了新的机会,通过无人机搭载多光谱镜头可获取研究区域高空间分辨率多光谱遥感影像,可实现在区域尺度上对湿地植物物种多样性的监测与评估,同时可为未来大范围植物多样性监测提供基础。
通过利用多旋翼无人机搭载MS600 Pro多光谱相机采集三江平原典型沼泽湿地植物群落的多光谱影像,借助无人机多光谱影像高空间分辨率的优势对非植被像素进行去除,进而提取影像的多种光谱指标。通过构建光谱多样性指标预测物种多样性指标的一元及多元线性回归模型,探索不同光谱指标对多种物种多样性指标的预测能力。
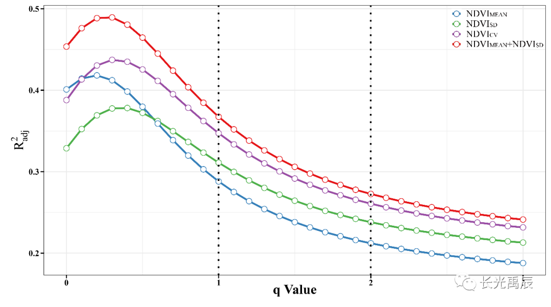
结果显示:1.仅通过NDVI均值对湿地植物物种多样性的预测能力有限,NDVI均值和标准差结合使用对湿地植物物种多样性的预测能力显著提高。2.不同光谱指标对Hill numbers指标的最佳预测能力均强于对常用物种多样性指标(Richness、Shannon、Simpson)的预测能力。
研究表明,使用无人机多光谱影像数据可实现对湿地植物物种多样性的有效预测,同时以往研究由于仅使用了常用物种多样性指标,导致基于光谱指标预测植物群落物种多样性的方法的真正潜力被低估了。
附:
[1] 论文信息:Tan, X., Shan, Y., Wang, X., Liu, R., Yao, Y., 2022. Comparison of the predictive ability of spectral indices for commonly used species diversity indices and Hill numbers in wetlands. Ecological Indicators 142, 109233.
[2] 论文全文链接:https://www.sciencedirect.com/science/article/pii/S1470160X22007051
长光禹辰成立于2017年,是一家由中国科学院长春光机所和青岛高新区联合成立的高新技术企业,公司核心团队来自长春光机所空间光学部,在光谱遥感、光电探测领域具有深厚的理论基础和丰富的工程经验,掌握完整的光谱仪器系统设计、先进的嵌入式视觉开发、复杂场景定量遥感智能调光、高精度自动辐射校正、光谱数据半定量反演及应用等核心技术,形成了以MS200、MS400、MS600、AQ600等系列多光谱相机为代表的无人机载光谱遥感硬件产品线、以Yusense Map/Map Plus为依托的光谱数据预处理及分析软件和以Yusense Cloud为依托的端云一体化服务平台,并在农业、林业、生态、环保、警用等领域开展了深入的行业应用。公司专注于无人机航空遥感与光电探测领域,持续推出革新的软硬件产品,落地更丰富的行业应用场景,致力于用技术和产品推动行业进步。
2025-11-03 13:54
2025-11-03 13:53
2025-11-03 13:52
2025-11-03 13:51
2025-11-03 13:50
2025-11-03 13:49
2025-11-03 13:48
2025-11-03 13:47
2025-10-31 12:50
2025-10-31 12:48


