序言
技术的改进已经使超快激光器不再局限于实验室,开始逐渐进入工业及医药等多种行业中执行精准而细致的加工任务。随着中国装备制造业的迅猛发展(“智能制造2025”),全球超快激光技术和应用爆发式增长,特别是表现在工业精细加工、晶圆隐形切割、玻璃切割、疾病诊断和治疗、THz产生和探测、生物医学双光子或Cars显微成像、激光直写和3D打印、基础科学研究等领域。具有诸多优点的超快光纤激光器的发展更是一骑绝尘,越来越受到科研工作者及精细加工厂商们的青睐。
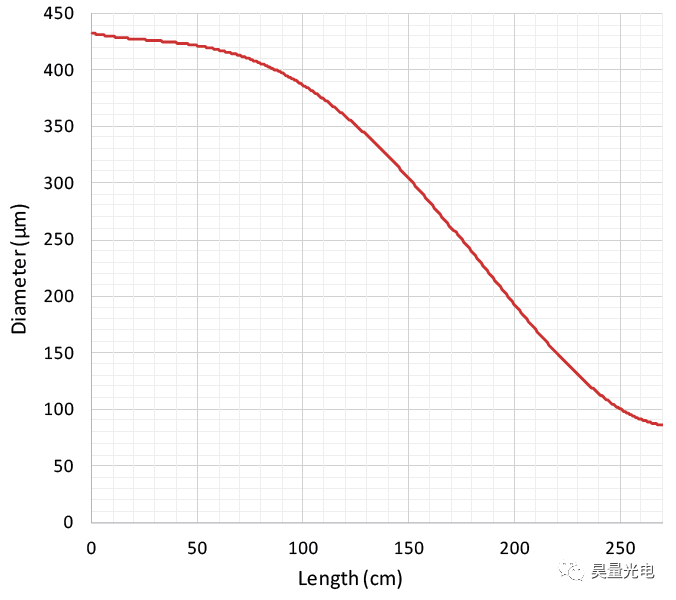
锥形双包层掺镱光纤(T-DCF)是一种纤芯芯径及包层随长度均匀变化的非常规光纤,大模场直径可达到100um,从而可使光纤激光器或放大器的非线性效应(SRS, SPM)阈值显著增加;具有更大包层吸收,通常可大于20dB,且同样增强非线性效应阈值;纤芯直径的调制,锥形光纤的宽端口(Wide side)与窄端口(Narrow side)可以保持通常的光束质量(M2<1.15)。总而言之,锥形双包层掺镱光纤的使用从各方面提高了光纤放大器的性能,势必促进全光纤超快激光器的快速发展。
产品特点
- 核心技术:锥形双包层掺镱光纤(T-DCF);
- 高峰值功率:up to 1MW;
- 单模激光输出:M2<1.15;
- 高增益:30-50dB;
- 高泵浦吸收率:>20dB@976nm;
- 低非线性效应;
- 低信号输入功率:5-30mW
主要应用
- 超快光纤激光器;
- 大功率连续 or脉冲光纤激光器;
- 频率转换;
参数效果
- 输入信号:30mW,25MHz重频,40ps脉冲长度
- 输出激光:100W平均功率(见下图)
- 根据客户的不同层次需要,提供A、B、C、D四个型号(详细参数如下):
图片示例
TGMA (A模块) 图示
TGMB (B模块)图示
TGMC (C模块)图示
TGMD (D模块) 图示
上海昊量光电设备有限公司
Aunion Tech Co., Ltd
专业源自专注 专注成就未来
上海昊量光电设备有限公司是目前国内知名光电产品专业代理商,也是近年来发展迅速的光电代理企业。除了拥有一批专业技术销售工程师之外,还有拥有一支强大技术支持队伍。我们的技术支持团队可以为客户提供完整的设备安装,培训,硬件开发,软件开发,系统集成等工作。不但为客户提供适合的产品,而且为客户提供完善的服务是我们始终秉承的理念!
自2008年成立以来,昊量光电专注于光电领域的技术服务与产品经销,致力于引进国外很具先进性与创新性的光电技术与可靠产品,为国内前沿的科研与工业领域提供优质的产品与服务,助力中国智造与中国创造! 目前,昊量光电已经与来自美国、欧洲、日本的多家知名光电产品制造商建立了紧密的合作关系。其代理品牌均处于相关领域的发展前沿,产品包括各类激光器、光电调制器、光学测量设备、精密光学元件等,所涉足的领域涵盖了材料加工、光通讯、生物医疗、科学研究与国防等。
昊量光电坚持“专业源自专注,专注成就未来”的经营理念。近年来,我们专注于前沿的细分市场,为量子光学、生物显微、物联传感、精密加工、先进激光制造等领域的客户提供系统解决方案。
秉承诚信、高效、创新、共赢的核心价值观,昊量光电坚持以诚信为基石,凭借高效的运营机制和勇于创新的探索精神为我们的客户与与合作伙伴不断创造价值,实现各方共赢!
立足于光电产业,昊量光电始终坚持价值创造与创新,赢得客户与合作伙伴的认可,不断拓展业务领域的新边疆,立志打造国际一流的代理服务品牌!
2025-09-27 11:14
2025-09-27 11:13
2025-09-27 11:10
2025-09-26 12:25
2025-09-26 12:23
2025-09-26 12:22
2025-09-26 12:18
2025-09-26 12:16
2025-09-26 12:15
2025-09-26 12:13

