无损变焦在摄影摄像中相信并不是陌生的词汇,但是它是如何与ANAFI结合在一起?ANAFI的无损变焦又是如何实现的?4K下的1.4倍无损变焦,1080p下的2.8倍无损变焦,这些数字又是如何得到的呢?让我们通过以下几道数学题由浅入深地来了解下ANAFI独特的无损数字变焦技术吧!
什么是无损数码变焦?
根据定义来看,无损变焦意味着在画面放大时不会损失图像质量。
首先,让我们来了解下标准数字变焦的工作原理。通过在拍摄图像之后,通过放大图像像素并进行后期处理以创建特写效果。图像按原始图始的长宽比进行裁剪。这样的操作使每个像素都被放大,而质量也有所下降。
而无损数字变焦以完全相同的工作方式进行;然而,其差异性来自拍摄画面的原始像素数量:无损数码变焦捕获了比最终显示图片更多的像素数量。
在ANAFI中,21MP传感器可以捕获视频的静止图像,其像素数量远远超过1080p或4K记录所需的像素数,因此图像处理器可在不降低质量的情况下裁剪这些图像以进行缩放,从而达到无损变焦的效果。

ANAFI的传感器尺寸与4K相比
图像处理器可进行像素插值至放大后所输出的图像中。使用这种“像素超采样“技术,即使在画面有所裁剪或大小调整后,也可以将显示图像的像素保持为与传感器像素相同的大小。

无损缩放(x2):插值像素,使其保持相同大小
光学变焦和无损数码变焦有什么区别?
光学变焦和数字变焦是完全不同的。在前者中,通过在镜片内移动玻璃元件来机械式地实现放大,以达到长焦距。所有放大效果都是由镜头完成的,因此传感器所投射的图像由光学镜头放大,而不会有任何质量损失。
而在镜头内部没有任何机械作用的情况下,相机内部自带处理器对图像处理实现变焦效果则称之为数码变焦。与复杂的光学系统不同,无损数码变焦平稳、快速,不会对焦点产生任何影响,让您可以创建像推轨变焦这样的惊人效果。它是小型,紧凑和轻便无人机的理想解决方案,并提供与光学变焦相同的质量。
如何估算最大无损变焦值?
在这里我们一起做几道数学题,研究下!
首先我们先了解下几个需要注意的关键点:无损变焦值的准确估算需考虑图像传感器的像素数量,以及镜头的放大倍率及镜头失真。
使用ANAFI的相机,4K UHD的最小变焦值(1x,即无变焦)对应于图像传感器上2像素区域上显示的一个像素,如图所示。让我们称之为Ps传感器像素表面,Pi为图像像素表面。然后我们得出如下等式(1)。

无缩放4K图像下,传感器像素的大小与图像像素大小比较

如本文所述,无损缩放意味着即使在图像放大后图像的质量也保持不变。最大无损缩放系数在图像的中心定义,并对应于其中一个像素的配置。最终图像(显示的像素)占据图像传感器的一个像素的表面。

最大变焦值下4K图像,传感器像素大小与图像像素大小比较
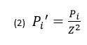
我们将Z称为缩放因子,图像放大后的像素表面称为Pi'。然后我们得到以下等式(2):

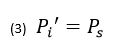
当图像像素Pi'的大小等于传感器像素Ps的大小时,即可找出缩放因子Z的最大值以获得无损缩放的效果:

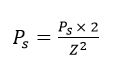
通过组合上述等式(1),(2)和(3),我们则可以得到Z值:


对于1080p格式(2.1 MP),图像包含的像素比4K UHD图像(8.3 MP)少4倍。这意味着1080p中的一个图像像素占据的面积是4K图像像素的4倍。而不是具有覆盖2个传感器像素的图像像素大小,一个1080p图像像素占据8个传感器像素,换句话说:

通过采用之前相同的计算方式,我们可以得到1080p的最大无损缩放因子,即:

这些计算验证了无损变焦技术是您拍摄视频的完美方式,帮助你获取最佳画面质量。
如何使用新功能?
变焦功能提供了众多的拍摄视角。您可以在不移动无人机的情况下在远处拍摄到清晰的拍摄对象。
如果你想在远距离放大所看到的动物,变焦功能可以帮你轻松实现。在以下的照片中,我们使用ANAFI拍摄了一组羊驼的照片。第二张使用变焦功能的图像质量与第一张图像相比,毫不逊色。


而如果缩小,则可以完整地看到令人惊叹的背景。在以下的照片中,ANAFI则以一只鹰为中心进行缩小,老鹰所在的壮观山峰则显露出来。


像电影专业制作人员那样创造属于自己的视频,让您的创意充满活力!变焦功能可以助您实现具有电影效果的精彩镜头,使用推拉变焦效果自动进行或者手动操作。一旦您掌握了所有的操控方式,您就可以自由飞行无人机及变换操作。
另外值得一提的是您还可使用ANAFI的缩放功能在空中寻找最佳取景地,减少不必要的飞行时间从而提高电池使用寿命哦!
Parrot于1994成立于法国巴黎,是一个致力于创新技术发展的企业。首席执行官兼创始人Henri Seydoux 先生是一位具有前瞻性思维的领导者,他相信尖端科技产品能在便利用户的同时,丰富其日常生活。
公司致力于三大市场的创新与发展:
1.民用无人机领域:娱乐航拍无人机及行业解决方案
2.汽车工业领域:免提车载通讯与信息娱乐系统
3.无线连接及物联网领域
PARROT全球累计超700名员工,覆盖逾100个国家, 在主要国家设有分公司或办事处。2006年于巴黎泛欧交易所(EURONEXT PARIS)上市。(股票代码:FR0004038263-PARROT) 2006年Parrot SA开设了其在华的唯一全资子公司:派诺特贸易(深圳)有限公司(Parrot China)随后在上海开设了分公司,承担中国地区市场销售职能。
发展历程
1994年公司由创始人Henri Seydoux先生法国巴黎创办;
1995年推出首款个人数字语音识别助手-Voicemate;
1998年Parrot 加入Bluetooth SIG 第一套带语音识别的车载免提Parrot CK28;
2000年与爱立信公司合作, 推出首款蓝牙免提车载设备;
2003年第一套免安装蓝牙车载免提:Parrot DriveBlue 成功发布;
2006年基于蓝牙技术,开发了电子相框和HI-FI无线音箱,丰富其产品线;
2008年与全球知名的设计师(如Philippe Starck, Andree Putman, Martin Szekely,)展开合作,发布了一系列经典产品,如:Parrot Zikmu
2010年推出全球首款基于手机操作的消费类无人机 AR.Drone;
2012年收购了瑞士工业级无机制造商SenseFly及全球领先的无人机数据分析软件供应商Pix4D;
2014年推出了Mini Drones系列产品,使用Wi-Fi和蓝牙即可轻松连接;
2015年基于无人机业务的壮大,公司拆分为Parrot Drones 和Parrot Automotive;
2016年推出了全球首款消费级固定翼无人机Parrot Disco;
2017年推出了专业产品系列,产品涉及农业,3D建模,测绘和公共安全领域,为专业人士提供高效且易于使用的行业无人机解决方案;
至今致力于成为技术领先的无人机企业,时刻准备迎接蓬勃发展的无人机市场所带来的机遇和挑战;
2025-09-24 09:55
2025-09-24 09:52
2025-09-24 09:48
2025-09-24 09:46
2025-09-23 08:52
2025-09-23 08:47
2025-09-23 08:41
2025-09-22 15:24
2025-09-22 15:04
2025-09-22 15:02

